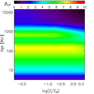
Flux ratios βλ,0 = f(HST/WFC3 F475W)f(Johnson L') of Various Stellar Populations


Data
SFH PNG TXT FITS
Simple Stellar Population png txt fits
Exponentially Declining SFH τ = 100Myr png txt fits
τ = 250Myr png txt fits
τ = 500Myr png txt fits
τ = 1Gyr png txt fits
τ = 2Gyr png txt fits
τ = 5Gyr png txt fits
τ = 10Gyr png txt fits
Stochastic SFHs SFH1 png txt fits
SFH2 png txt fits
SFH3-ETG png txt fits
SFH4-Spiral png txt fits
SFH5-LTG png txt fits



Last updated: May 15, 2017


Go to top of this page

Back to the L-band to Visible–Near-IR Flux Ratio homepage